Każdy z nas niejednokrotnie doświadczył rażącego światła, które w praktyce nazywane jest olśnieniem przykrym. Nazywany potocznie efekt olśnienia wpływa niekorzystnie na narząd wzroku, ograniczając stopień widzenia i zdolności rozpoznawania. Poprzez to komfort użytkowania pomieszczeń zdecydowanie się zmniejsza, a praca staje się mniej efektywna.
W tym artykule znajdziesz informacje na temat:
- Czym jest efekt olśnienia i olśnienie przykre?
- Jaki związek ma z nim pomiar natężenia oświetlenia?
- Które miejsca pracy są najbardziej narażone na olśnienie?
- Efekt olśnienia a źródła światła.
- Jak niwelować olśnienie przykre?
Czym jest olśnienie przykre? – definicja i przyczyny zjawiska
Czym jest zjawisko olśnienia?
Ocena jakości oświetlenia znajdującego się w pomieszczeniach następuje wielokryterialnie. Ewaluacji podlega m.in. natężenie światła, jego barwa oraz olśnienie. Wszystkie one wpływają na jakość widzenia.
Z definicji efektem olśnienia nazywamy warunki oświetlenia, w których użytkownik odczuwa dyskomfort, bądź szczegóły przedmów znajdujących się w polu widzenia są przez niego trudno dostrzegalne. Zazwyczaj ma to miejsce wówczas, gdy luminancja posiada niewłaściwy zakres albo rozkład. Przyczyną może być również nieodpowiedni kontrast oświetlenia obserwowanego przedmiotu w stosunku do otoczenia. W obu przypadkach do użytkownika dociera zbyt duża skoncentrowana wiązka światła, która odbija się od przedmiotów albo od źródła światła. Takie działanie, z uwagi na problem z możliwością obserwacji, może spowodować rozdrażnienie, a w miejscach pracy skutkować nawet zagrożeniem zdrowia.

Jakie są rodzaje olśnienia?
Wyróżnia się różne rodzaje olśnienia. Można je podzielić na dwie podgrupy. Pierwsza z nich klasyfikuje olśnienie z uwagi na rodzaj promieniowania docierającego do oka obserwatora. W tym podziale wyodrębnia się:
Olśnienie bezpośrednie
pochodzi od źródła światła i koncertuje się bezpośrednio na oku obserwatora
Olśnienie pośrednie
ma miejsce w przypadku intensywnej luminancji, którego źródło znajduje się obok obserwowanego obiektu
Olśnienie odbiciowe
występuje poprzez odbicie się wiązek światła od obiektów znajdujących się w pobliżu oglądanego obiektu np. od mebli, ścian
Każde z powyższych rodzajów olśnienia może powodować różne skutki. Jedne z nich mogą być mniej drugie bardziej utrudniające funkcjonowanie użytkowników pomieszczeń. Z uwagi na to olśnienie może być przeszkadzające, przykre bądź oślepiające.

Olśnienie przeszkadzające może czasowo osłabiać zdolność widzenia czy rozróżniania barw. Jednak w takim przypadku czas regeneracji jest krótki i wynosi dosłownie kilka minut.

Miejsca pracy najczęściej narażone są na olśnienie przykre, które w krótkim okresie powoduje jedynie dyskomfort. Jednak w miejscach, gdzie występuje tego typu zjawisko, a ludzie przebywają w nim kilka godzin codziennie, skutki mogą być dużo gorsze i na pierwszy rzut oka z nim niezwiązane. Narażeni na długotrwałe olśnienie przykre pracownicy często odczuwają zmęczenie oczu, rozdrażnienie, a także stres.

Olśnienie oślepiające jest związane z ekspozycją na wysokie wartości luminancji. Nawet chwila jego oddziaływania na ludzkie oko może spowodować krótkotrwały brak zdolności widzenia. Zazwyczaj taki efekt spowodowany jest przez bezpośrednie światło pochodzące od oprawy.
W jaki sposób dokonać pomiaru natężenia oświetlenia?
Podczas oceny zjawiska olśnienia wykorzystuje się termin często stosowany w fotometrii, czyli luminancja. To miara natężenia oświetlenia, które pada w zadanym kierunku i podawana jest w kandelach przypadających na 1 m² (cd/m²).
Zazwyczaj przyjmuje się, że żeby olśnienie przykre wystąpiło, źródło światła musi posiadać luminancję większą niż 500 cd/m². Natomiast olśnienie bezpośrednie o wartości luminancji powyżej 700 cd/m² najczęściej powoduje znaczny dyskomfort.
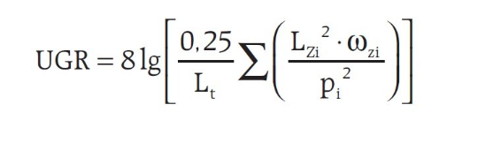
Olśnienie wzroku, czyli uczucie przykrości wynikające z olśnienia, związane jest z kilkoma parametrami. Należą do nich m.in. wymiar, kąt świecenia i liczba opraw oświetleniowych oraz wymieniona wcześniej luminancja źródeł i tła. Ocenę olśnienia realizuje się za pośrednictwem ujednoliconego wskaźnika olśnienia UGR. Za jego pomocą możliwa jest analiza olśnienia na stanowiskach pracy uwzględnionych w normie PN-EN 12464-1.

Gdzie
- Lt – luminancja tła, cd/m²
- LZ – luminancja źródła światła, cd/m²
- pi – wskaźnik położenia świetlnego Gutha obserwatora względem każdej oprawy, który odnosi się do położenia oprawy względem linii wzroku,
- ωz – kąt bryłowy źródła światła określony dla obserwatora.
Zarówno standard PN-EN 12464-1 jak i metoda przyjęta przez Międzynarodowy Komitet Oświetleniowy (CIE) dopuszczają tabelaryczną analizę wskaźnika UGR.
| Subiektywna ocena doznawanego olśnienia przykrego | Olśnienie już nieznośne |
| Przyjęta przez CIE skala wartości granicznych UGR | 28 |
| Przyjęta w PN-EN 12464-1 skala wartości granicznych UGR | 28 |
| Subiektywna ocena doznawanego olśnienia przykrego | Olśnienie pomiędzy nieznośnym a powodującym niewygodę* |
| Przyjęta przez CIE skala wartości granicznych UGR | 25 |
| Przyjęta w PN-EN 12464-1 skala wartości granicznych UGR | 25 |
| Subiektywna ocena doznawanego olśnienia przykrego | Olśnienie już powodujące niewygodę |
| Przyjęta przez CIE skala wartości granicznych UGR | 22 |
| Przyjęta w PN-EN 12464-1 skala wartości granicznych UGR | 22 |
| Subiektywna ocena doznawanego olśnienia przykrego | Olśnienie pomiędzy powodującym niewygodę a do przyjęcia* |
| Przyjęta przez CIE skala wartości granicznych UGR | 19 |
| Przyjęta w PN-EN 12464-1 skala wartości granicznych UGR | 19 |
| Subiektywna ocena doznawanego olśnienia przykrego | Olśnienie jeszcze do przyjęcia |
| Przyjęta przez CIE skala wartości granicznych UGR | 16 |
| Przyjęta w PN-EN 12464-1 skala wartości granicznych UGR | 16 |
| Subiektywna ocena doznawanego olśnienia przykrego | Olśnienie pomiędzy do przyjęcia a zauważalnym* |
| Przyjęta przez CIE skala wartości granicznych UGR | 13 |
| Przyjęta w PN-EN 12464-1 skala wartości granicznych UGR | – |
| Subiektywna ocena doznawanego olśnienia przykrego | Olśnienie zaledwie zauważalne |
| Przyjęta przez CIE skala wartości granicznych UGR | 10 |
| Przyjęta w PN-EN 12464-1 skala wartości granicznych UGR | – |
| Subiektywna ocena doznawanego olśnienia przykrego | Przyjęta przez CIE skala wartości granicznych UGR | Przyjęta w PN-EN 12464-1 skala wartości granicznych UGR |
|---|---|---|
| Olśnienie już nieznośne | 28 | 28 |
| Olśnienie pomiędzy nieznośnym a powodującym niewygodę* | 25 | 25 |
| Olśnienie już powodujące niewygodę | 22 | 22 |
| Olśnienie pomiędzy powodującym niewygodę a do przyjęcia* | 19 | 19 |
| Olśnienie jeszcze do przyjęcia | 16 | 16 |
| Olśnienie pomiędzy do przyjęcia a zauważalnym* | 13 | – |
| Olśnienie zaledwie zauważalne | 10 | – |
*nazwa subiektywnego odczucia określanego przez autorkę
Na podstawie dr inż. Agnieszka Wolska Centralny Instytut Ochrony Pracy – Państwowy Instytut Badawczy, Jak zmienia się olśnienie przykre przy różnym położeniu oka obserwatora?, Bezpieczeństwo pracy 2012
[2] Publication CIE no 55: 1983 Discomfort glare in the interior working environment
[4] B¹k J. Technika oświetlania. Warszawa, PWN 1981
Miejsca pracy narażone na efekt olśnienia
Zjawisko olśnienia jest powszechnie spotykane. Ma to miejsce m.in. w przestrzeniach publicznych, biurowych, przemysłowych czy domowych. W niektórych z tych obszarów skutki, które powoduje, mogą być bardziej lub mniej istotne. Z uwagi na rodzaj wykonywanych czynności mamy tu miejsce z każdym rodzajem olśnienia. Jednak odnosząc się do czasu na miejscu pracy oraz możliwości usunięcia źródła problemu, newralgiczne jest zjawisko olśnienia przykrego.
Szczególnie narażona na czynnik związany z niewygodą i zmniejszoną zdolnością widzenia jest praca biurowa. Kilku bądź kilkunastogodzinny tryb pracy, a także czynności przed monitorem komputera potęgują skutki związane z nieodpowiednio dostosowanym źródłem światła.
Efekt olśnienia, jego minimalizacja jest wskazana również na stanowiskach pracy związanych z produkcją oraz w przestrzeniach sprzedażowych.
Źródła światła a obniżenie zdolności rozpoznawania szczegółów
Rozpoznanie oraz dokonanie oceny olśnienia jako stanu, który negatywnie wpływa na użytkowników przestrzeni, jest bardzo istotne. Wiąże się z tym efektywność i bezpieczeństwo podczas pracy, a także samopoczucie pracowników. Zbyt wysoki UGR może powodować obniżenie zdolności rozpoznawania detali i skutkować obniżeniem efektywności realizowanych prac. Odpowiednio dobrane oświetlenie, którego wskaźnik olśnienia jest na poziomie pozwalającym wykonywać czynności komfortowo dla wzroku, zwiększa efektywność pracowników.
Jak zapobiegać olśnieniu przykremu?
Oświetlenie miejsc pracy przede wszystkim powinno być dobrane do czynności wykonywanych w danych obszarach. Należy o tym pamiętać już podczas projektowania instalacji oświetleniowej. Efekt olśnienia może być zminimalizowany poprzez stosowanie kilku zasad m.in.:
- instalacja opraw z niskim współczynnikiem olśnienia UGR,
- odpowiedni montaż opraw oświetleniowych – nie bezpośrednio nad miejscem pracy,
- zdecentralizowany system oświetlenia np. kilka opraw o mniejszej luminancji,
- oświetlenie pod różnymi kątami skierowane na stanowisko,
- unikanie połyskliwych powierzchni,
- zachowanie odpowiedniego kontrastu między tłem a oświetlaną powierzchnią.

Należy mieć na uwadze fakt, że dopiero połączenie źródła światła z niskim współczynnikiem olśnienia z właściwym montażem źródła światła da gwarancję minimalizacji opisywanego zjawiska olśnienia przykrego. Ponieważ przy różnym położeniu oka obserwatora wskaźnik UGR od danej oprawy będzie się różnił, również z uwagi na kierunek patrzenia użytkownika.
Szukasz oświetlenia, które zapewni Twoim pracownikom komfort użytkowania i zwiększy ich efektywność? Zadaj nam pytanie w formularzu, a pomożemy dobrać system minimalizujący efekt olśnienia.
Elemento LED 1.0
Industrial LED 6.0
Cordoba LED DC 3.0 M
Skylight LED 4.0
Kenox LED 1.2
Kenox LED 1.2
Industrial GRP LED 6.0
Highbay LED 5.1
Trunking LED 1.0
Lumiline LED 3.0
Supertrunk LED MT
Tracklight LED